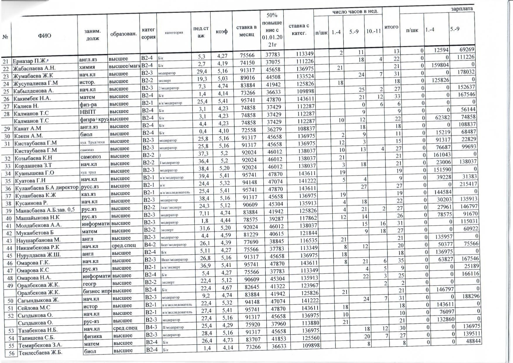
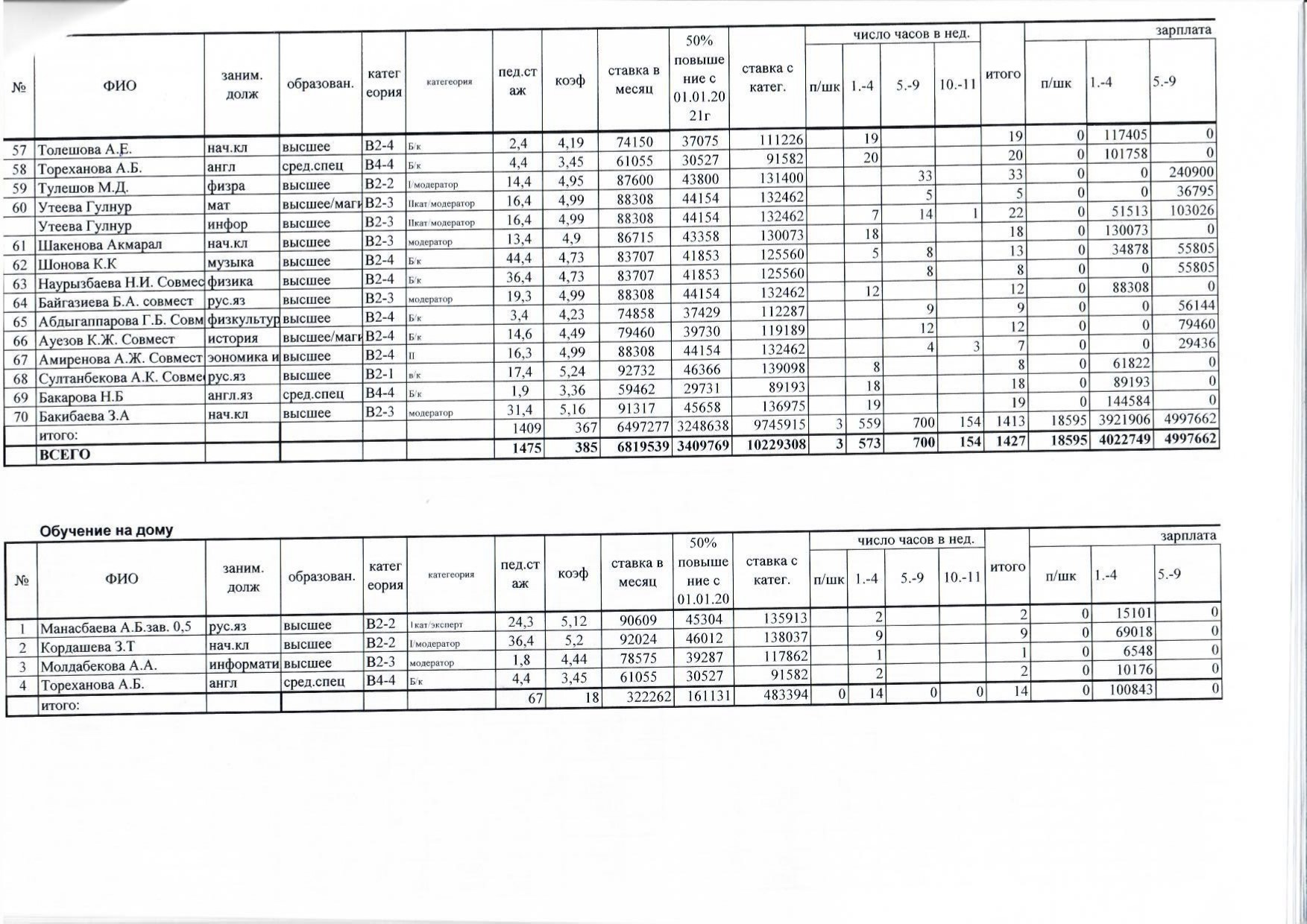
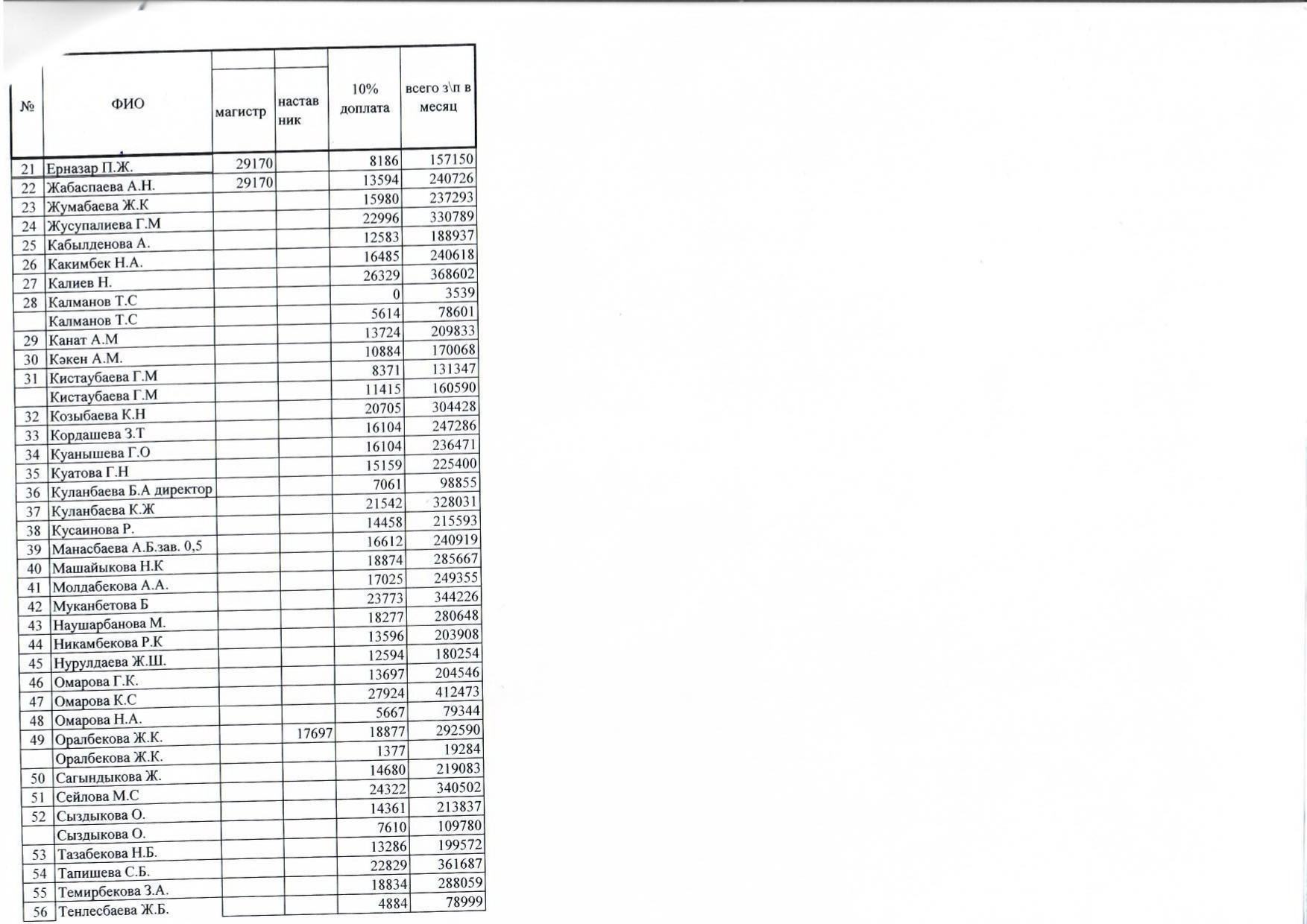
View the embedded image gallery online at:
https://zhez-sch5.edu.kz/kz/bughalteriya-kz/106-tarifikatsiyaly-tizim.html#sigFreeId55955c6128
https://zhez-sch5.edu.kz/kz/bughalteriya-kz/106-tarifikatsiyaly-tizim.html#sigFreeId55955c6128

© 2021, Барлық құқықтар сақталған